中共中央政治局常务委员会于5月5日召开会议,分析当前新冠肺炎疫情防控形势,研究部署抓紧抓实疫情防控重点工作。中共中央总书记习近平主持会议并发表重要讲话。为传达学习贯彻此次重要会议精神。2022年5月7日-5月9日,会计与金融学院党委各个学生支部分别召开专题学习会议。




本次会议在加强自身防护的前提下,要求参会成员严格佩戴口罩,通过观看相关会议视频或新闻联播的方式,进行线下学习。




会议认为,在疫情形势复杂和防控吃劲阶段,习近平总书记的重要讲话为全党全国人民保持清醒头脑、坚持正确方针、坚定必胜信心、打赢抗疫斗争提供了根本遵循。要提高政治站位,深刻理解我国采取的方针政策是党坚持人民至上、发挥党的领导和社会主义制度最大优势、坚持党的实事求是思想路线、坚持尊重科学与立足基本国情的必然选择。要保持战略自信,充分看到我国疫情防控理念深得人心、防控政策经得起检验、防控措施科学有效,坚决反对歪曲怀疑我国防疫方针、消解全国人民奋斗成果的错误言行。
会议指出,坚持就是胜利。当前,疫情防控工作正处于“逆水行舟、不进则退”的关键时期和吃劲阶段,各级党委和政府要坚定信心,深刻认识抗疫斗争的复杂性和艰巨性,坚决落实党中央决策部署,充分发扬斗争精神,坚决筑牢疫情防控屏障,坚决巩固住来之不易的疫情防控成果,做到守土有责、守土尽责。
会议强调,全院师生党员群众要严格遵循中央政治局常委会会议精神,在校党委领导下充分发挥党员先锋模范作用,坚持群众路线,以党纪、国法、校规约束全校师生,严守疫情防控底线,坚持‘动态清零’方针不动摇,全力打赢疫情防控这场大仗硬仗。



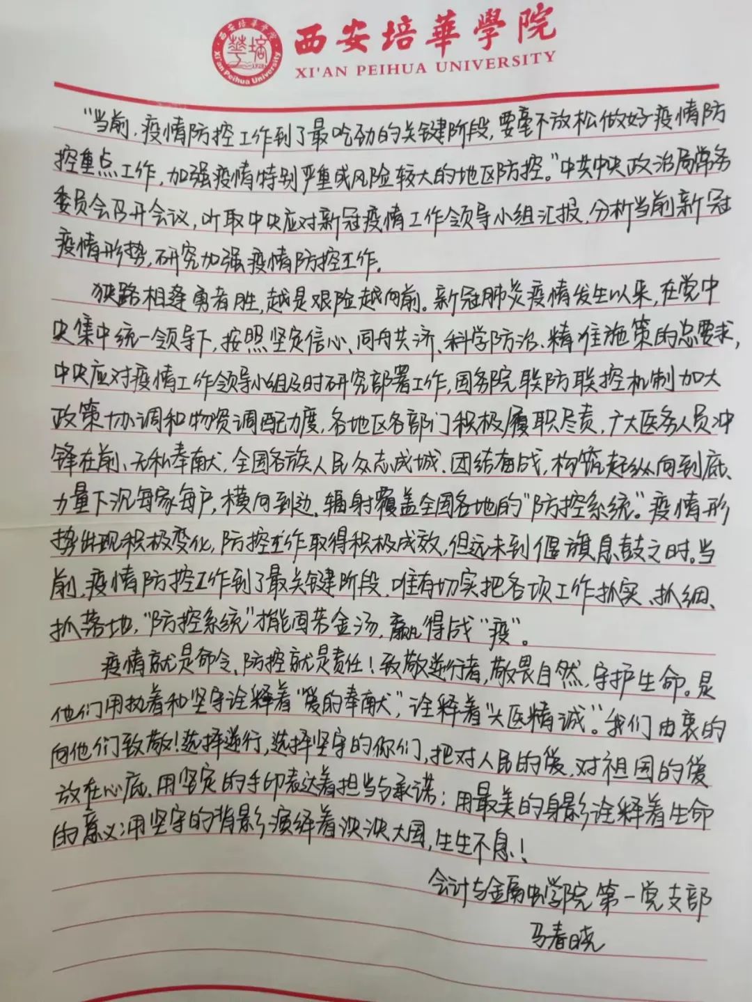
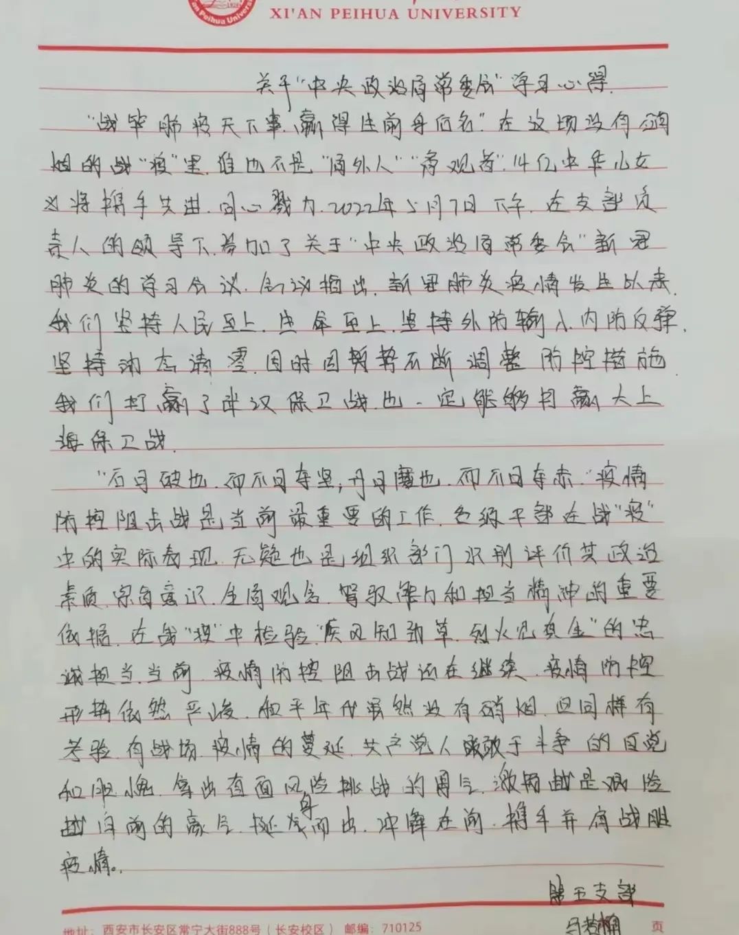
为了巩固本次学习成果,参会的成员纷纷写下了学习心得体会,大家纷纷表示作为一名学生党员要继续发挥战斗堡垒和先锋模范作用,服从学校一切疫情防控的相关部署和积极做好疫情防控的宣传引导工作,帮助同学们正确认识疫情,传播科学防控知识。



通过召开本次专题学习会议,下一步会计与金融学院党委将持续带领全院师生党员落实落细学校各项疫情防控措施、加强疫情防控宣传教育,以“时时放心不下”的责任感巩固疫情防控成果。
编辑:李爀